La position actuelle:Accueil du site>Examen des principes fondamentaux de la structure en acier
Examen des principes fondamentaux de la structure en acier
2022-07-23 12:26:55【Kyle942】
Principes fondamentaux de la structure en acier Chapitre I Introduction 1、 Avantages de la structure en acier: (1) Haute intensité、Poids léger; (2) Bonne qualité matérielle,Haute fiabilité; (3) Degré élevé d'industrialisation,Courte durée; (4) Bonne étanchéité; (5) Bonne performance sismique; (6) Bonne résistance à la chaleur; 2、 Défauts de la structure en acier: (1) Les prix de l'acier sont relativement élevés; (2) Faible résistance à la corrosion; (3) Faible résistance au feu; Chapitre II Matériaux de construction en acier 1、 Prescriptions applicables aux structures en acier: (1) Forte intensité; (2) Bonne plasticité; (3) Bonne résistance à l'impact; (4) Bonne performance de travail à froid; (5) Bonne soudabilité; (6) Bonne durabilité; 2、 Le point d'élasticité et l'amplitude du débit sont deux indices importants des propriétés mécaniques de l'acier.,Le premier est l'indice de résistance de l'acier,Ce dernier indique l'indice de déformation plastique de l'acier. 3、 Propriétés de fonctionnement de l'acier: (1) Au moment de la conception, le point d'élasticité doit être considéré comme la contrainte maximale réalisable pour l'acier.; (2) L'acier est conforme à la Constitution élastoplastique idéale; (3) Déformation plastique importante de l'acier avant défaillance,Presque équivalent à la déformation élastique200X; (4) Le rapport d'élasticité - résistance peut être considéré comme un coefficient pour mesurer la réserve de résistance de l'acier.,Plus le rapport d'élasticité est faible, plus la réserve de sécurité de l'acier est grande.. 4、 L'allongement ne représente pas la déformation plastique maximale de l'acier,Mais il est facile de produire une grande erreur lors de la mesure du retrait de la section transversale. 5、 L'indice de plasticité de l'acier est plus important que l'indice de résistance,La plasticité ajuste le défaut initial. 6、 Vieillissement:Sous des charges répétées intermittentes, Augmentation du point d'élasticité de l'acier , Réduction de la ténacité , Et la résistance ultime augmente légèrement . 7、 Fatigue: Après des charges répétées , Diminution de la résistance de l'acier . 8、 Quatrième théorie de la résistance (Contrainte convertie):

Édition
Ajouter un commentaire d'image,Pas plus de 140 Mots(Facultatif)
9、 La limite d'élasticité en cisaillement de l'acier est la limite d'élasticité en traction. 0.58X. 10、 Ténacité: Capacité de l'acier à absorber l'énergie pendant la déformation plastique et la rupture , Est l'indice de résistance aux chocs de l'acier . 11、 Propriétés de flexion à froid: Déformation plastique de l'acier lors du travail à froid , Résistance aux fissures , Est un indice complet pour mesurer les propriétés mécaniques de l'acier .
12、
13、 Une bonne soudabilité signifie la sécurité des soudures 、Fiable、 Pas de fissures de soudure , Résistance à l'impact des joints soudés et des soudures et allongement de la zone affectée par la chaleur (Plasticité) Et les propriétés mécaniques ne sont pas inférieures à celles du métal de base .
14、 L'équivalent carbone est une mesure complète de la réaction de carbonisation du métal de base après soudage par bouts de divers éléments dans l'acier ordinaire faiblement allié. .
15、 Rupture plastique: Aussi connu sous le nom de rupture ductile .
16、 Rupture fragile: Pas de déformation évidente avant la rupture , Faible contrainte moyenne .
17、 La contrainte de cisaillement dépasse d'abord la capacité de cisaillement du grain. , Une rupture plastique se produira ; La contrainte de traction dépasse d'abord la capacité de traction du grain. , Une rupture fragile se produira .
18、 Le facteur direct qui influence la rupture fragile de l'acier est la taille de la fissure. 、 Force et ténacité du matériau .
19、 Principales mesures visant à améliorer la résistance à la rupture fragile de l'acier :
(1) Renforcer la gestion du processus de soudage ;
(2) Les soudures ne doivent pas être trop concentrées , Le soudage ne doit pas être effectué avec une contrainte excessive , Éviter les contraintes résiduelles excessives ;
(3) Conception raisonnable de la structure détaillée , Évitez la concentration de stress ;
(4) Choisir un acier raisonnable ;
20、 Dommages dus à la fatigue: Acier soumis à des charges répétées continues , La contrainte est inférieure à la résistance ultime , Même en dessous du point d'élasticité ,Il y aura aussi des dégâts. Appartient à la rupture fragile sous des charges répétées .
21、 Limite de fatigue : Cycles de contrainte même répétés infiniment , L'éprouvette reste intacte .
22、 Dommages: Dommages plastiques 、Dommages dus à la fatigue、 Changement de matériau 、 Dommages dus au fluage, etc. .
23、 Influence de la composition chimique sur les propriétés de l'acier :
(1) Carbone: Augmentation du point d'élasticité et de la résistance à la traction ; Mais la plasticité et la ténacité , En particulier, la ténacité à l'impact à basse température diminue ,Soudabilité、 Résistance à la corrosion 、 La résistance à la fatigue et les propriétés de flexion à froid diminuent évidemment .
(2) Silicium: Pour fabriquer de l'acier tué de haute qualité . Une bonne quantité de silicium peut augmenter considérablement la résistance , Et pour la plasticité 、Résistance à l'impact、 Les propriétés de flexion à froid et la soudabilité n'ont pas d'effet évident ; Trop réduit les performances .
(3) Manganèse: Augmenter la résistance de façon appropriée , Éliminer la fragilisation thermique , Amélioration de la fragilité à froid ; L'excès rend l'acier fragile et dur , Réduction de la résistance à la rouille et de la soudabilité .
(4) Vanadium: Amélioration de la résistance et de la résistance à la rouille , Pas de réduction significative de la plasticité , Il y a parfois un effet de durcissement .
(5) Soufre: Réduire considérablement la plasticité 、Résistance à l'impact、 Résistance à la fatigue et à la rouille , Fissures dues à la fragilisation à haute température —— Chaud et croustillant .
(6) Phosphore: Amélioration de la résistance et de la résistance à la rouille , Mais une forte réduction de la plasticité 、Résistance à l'impact、Propriétés de flexion à froid,Croustillante et froide.
(7) Oxygène et azote : Oxygen Heat croustillant , Azote croustillant froid .
24、 Acier à ébullition: Manganèse comme désoxydant ,Plasticité、Ténacité、 Faible soudabilité , Facile à vieillir et fragile .
25、 Acier tué: Silicium comme désoxydant ,Faible rendement,Coût plus élevé, Limite d'élasticité élevée 、Bonne résistance à l'impact、Propriétés de flexion à froid、Soudabilité、 Bonne résistance à la rouille , Moins sensible au temps .
26、 Acier laminé à chaud , Contrainte résiduelle due à un refroidissement inégal , En général, la contrainte de traction se produit à des endroits où le refroidissement est lent. , La contrainte de compression se produit lorsque le refroidissement est précoce . Auto - équilibrage des contraintes résiduelles .
27、 Durcissement: Sous des charges répétées , La limite élastique de l'acier a été augmentée .
28、 La fragilité bleue :In250℃À gauche et à droite, Augmentation de la résistance à la traction et diminution de la ténacité à l'impact de l'acier .
29、 Fragile à froid à basse température : Lorsque la température tombe à une certaine valeur , La ténacité à l'impact de l'acier diminue soudainement et fortement , Rupture fragile de l'éprouvette .
30、 En général, En raison de la bonne plasticité de l'acier de construction , Lorsque la force interne augmente , La distribution inégale des contraintes s'apaisera progressivement .
31、 Principe de sélection de l'acier :
(1) Type et importance de la structure ;
(2) Nature de la charge ;
(3) Méthode de connexion;
(4) Température de fonctionnement de la structure ;
(5) Propriétés mécaniques de la structure ;
(6) Forme de la structure et épaisseur de l'acier ;
Chapitre III Formes possibles de défaillance des structures en acier
1、 Formes possibles de défaillance des structures en acier :
(1) Instabilité globale de la structure ;
(2) Instabilité locale des structures et des éléments ;
(3) Rupture plastique de la structure ;
(4) Rupture fragile de la structure ;
(5) Dommages dus à la fatigue de la structure ;
(6) Dommages cumulatifs à la structure ;
Chapitre IV Éléments de tension et câbles

Modifier pour passer au centre
Ajouter un commentaire d'image,Pas plus de 140 Mots(Facultatif)

Édition
Ajouter un commentaire d'image,Pas plus de 140 Mots(Facultatif)
Chapitre V Élément de compression axiale
1、 Forme instable de l'élément de compression axiale en général :
a) Symétrie biaxiale : Type I 、HShape, Seule l'instabilité de flexion se produit ;
b) Symétrie uniaxiale : I asymétrique 、TShape、Rainure, Instabilité en flexion autour d'un axe asymétrique ; Instabilité en flexion et en torsion autour de l'axe de symétrie ;
c) Pas d'axe de symétrie : Membres non égaux LShape, Instabilité en flexion et en torsion ;
d) Symétrie centrale:Cruciforme、ZShape,Instabilité de torsion.
2、 Résistance des éléments de compression axiale :

Ajouter un commentaire d'image,Pas plus de 140 Mots(Facultatif)
3、 Stabilité globale:
a) Force critique Euler ( Barre de compression axiale élastique idéale ):

Ajouter un commentaire d'image,Pas plus de 140 Mots(Facultatif)
b) Capacité portante ultime :

Ajouter un commentaire d'image,Pas plus de 140 Mots(Facultatif)
c) Rapport d'élancement converti des éléments du réseau

Ajouter un commentaire d'image,Pas plus de 140 Mots(Facultatif)
Calculé selon la formule
4、 Stabilité locale:
a) Coefficient de stabiliték Prendre la valeur correspondante en fonction de l'état du roulement
b) Il y aura une grande capacité de charge après le flambage de la plaque , La résistance après flambage provient de la tension transversale du film dans la plaque. .
c) L'instabilité locale de l'élément à âme solide est contrôlée par une plaque de rapport largeur / épaisseur .
d) Pour s'assurer que la stabilité d'un seul membre de la colonne de treillis n'est pas inférieure à celle de l'ensemble , Son rapport d'élancement

Édition
Ajouter un commentaire d'image,Pas plus de 140 Mots(Facultatif)
a) Il n'est pas nécessaire de vérifier la stabilité locale de la Section de laminage. ,Auto - satisfaction;
Chapitre VI Éléments de flexion
1、 Principales formes de défaillance des éléments de flexion :
a) Rupture de la résistance de la Section : Détermination de la capacité portante en fonction de la taille du noyau élastique après le rendement du bord ; Dommages par cisaillement au site de fabrication ;
b) Instabilité globale : Dans le plan d'action du moment de flexion 、 En dehors du plan d'action du moment de flexion ;
c) Instabilité locale : Divisé en élasticité et élastoplasticité ; L'instabilité locale élastique indique la défaillance locale de l'élément de flexion , La capacité de charge commence à se détériorer , Mais il n'est pas nécessaire d'être considéré comme un critère de défaillance de l'ensemble du composant. .

Modifier pour passer au centre
Ajouter un commentaire d'image,Pas plus de 140 Mots(Facultatif)
6、 Centre de cisaillement : Centre de flexion 、 Centre de torsion , Centre de rotation où la section est tordue ; La ligne d'action de la force transversale doit être conçue de manière à être proche du Centre de cisaillement. .
7、 Torsion libre : La contrainte de section est la contrainte de cisaillement due à la torsion. ; Les angles de torsion par Unit é de longueur sont égaux partout
a) Une paire de couples réagissant de façon équivalente sur la section transversale ;
b) La fibre longitudinale de la Section d'extrémité du membre n'est pas retenue .
8、 Torsion de retenue : Les brides supérieure et inférieure ont des moments doubles équivalents inversés .
9、 Distorsion: Lorsque la torsion est retenue , Les sections des composants ne restent plus Planes .
10、 Instabilité globale , Principaux facteurs influant sur le moment critique de flexion :
Facteurs | Moment critique de flexion |
Rigidité latérale en flexion 、 Rigidité en torsion 、 Rigidité anti - distorsion | + |
Portée des membres | - |
Degré d'asymétrie de la section | + |
Facteur de mode d'action de la charge | + |
Position d'action de la charge latérale | + |
Degré de retenue du roulement sur le déplacement | + |
11、 Cas où le calcul de la stabilité globale peut être omis :
a) Une dalle de rigidité suffisante est recouverte et solidement fixée à la bride de compression de l'élément de flexion. , Peut efficacement empêcher la déformation latérale de l'hôpital sous pression ;
b) La longueur libre de l'élément de flexion est inférieure à un certain seuil .
12、 Critères de conception pour la stabilité locale :
a) La contrainte critique pour l'instabilité locale des tôles ne doit pas être inférieure à la limite d'élasticité du matériau. ;
b) La contrainte critique pour l'instabilité locale des tôles ne doit pas être inférieure à la contrainte critique pour la stabilité globale des éléments. ;
c) La contrainte critique pour l'instabilité locale des tôles ne doit pas être inférieure à la contrainte de travail réelle. .(Le plus économique)
13、 Mécanisme de treillis : Après l'instabilité locale de cisaillement des poutres simplement supportées avec raidisseurs transversaux , La contrainte de compression principale est constante , Augmentation de la contrainte de traction principale . Les brides supérieure et inférieure du faisceau sont comme des accords supérieurs et inférieurs , Raidisseurs transversaux comme des barres verticales sous pression , La bande de tension diagonale dans la section instable agit comme une barre diagonale de tension .
14、 Charges répétées 、 Dans la conception plastique , La résistance post - flambage n'est pas prise en compte .
Chapitre VII Éléments de flexion
1、 Formes de destruction
Rupture de résistance | Instabilité globale | Instabilité locale |
Similaire à un élément de flexion | Instabilité dans le plan 、 Instabilité hors plan | Similaire à un élément de Force axiale |
2、 Intensité

Ajouter un commentaire d'image,Pas plus de 140 Mots(Facultatif)
3、 Stabilité globale
a) Stabilité globale dans le plan
i. Section constituée de tôles d'un rapport d'épaisseur considérable ( Composants à paroi mince formés à froid ), Il est moins probable que la plasticité se développe à pleine section , En général, le critère de rendement marginal est utilisé comme critère de conception. .
ii. Deux façons de déterminer la stabilité dans le plan : Statistiques des données d'essai 、 Analyse numérique du modèle mécanique
iii. Méthode de calcul de la capacité portante stable dans le plan :
Nom | Formule | Caractéristiques |
Expression unique | La valeur est influencée par de nombreux facteurs ,Inconvénients d'utilisation. | |
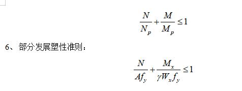
Formule de corrélation | Développement partiel de la plasticité |
b) Stabilité globale hors plan
i. L'instabilité globale hors plan présente un état de flexion et de torsion .
ii. Formule de calcul:

Ajouter un commentaire d'image,Pas plus de 140 Mots(Facultatif)
c) Membres du réseau
Stabilité d'un membre | Pour les garnitures , La stabilité d'un seul membre sous l'action de la Force axiale de chaque tige peut être calculée en fonction de l'élément de Force axiale. . Pour les panneaux de garniture , Le moment de flexion local causé par le cisaillement doit être considéré pour la stabilité dans le plan. . |
Garniture stable | Similaire à la compression axiale |
4、 Stabilité locale
a) Critères de conception:
i. L'instabilité locale n'est pas autorisée
ii. Envisager l'utilisation de la résistance post - flambage
Chapitre VIII Raccordement des structures en acier
1、 Méthode de soudage
Soudage à l'arc | Le plus souvent utilisé, Soudage de différents types d'acier , Des électrodes adaptées à l'acier à faible résistance doivent être utilisées. |
Soudage par électroscorie | Une sorte de soudage à l'arc , Soudage de la plaque de diaphragme interne et de la colonne de la colonne de caisse dans les structures en acier telles que les bâtiments en hauteur |
Soudage par résistance | Pour les stratifiés dont l'épaisseur n'excède pas 12mm |
Soudage au gaz | Tôles d'acier 、 Petites structures |
2、 Forme de soudage
a) Soudures par bouts: Couture droite 、 Couture diagonale ;
b) Soudure en filet: Couture latérale 、 Couture d'extrémité .
3、 Avantages et inconvénients des structures soudées
a) Avantages
i. Pas besoin de percer , Économies de main - d'oeuvre et de temps , Section non affaiblie ;
ii. Forme illimitée 、 Pas de pièces auxiliaires 、Construction simple、 Voie de transmission courte 、Large gamme d'adaptations;
iii. étanchéité à l'air、 Bonne étanchéité à l'eau , Grande rigidité structurelle ,Bonne intégrité;
b) Inconvénients:
i. La zone affectée par la chaleur rend l'acier fragile ;
ii. La contrainte résiduelle est sujette à une rupture fragile , Réduction de la charge critique pour la stabilité de la barre de compression , Influence sur la taille et la forme ;
iii. Les fissures locales se propagent facilement dans l'ensemble ;

Modifier pour passer au centre
Ajouter un commentaire d'image,Pas plus de 140 Mots(Facultatif)

Modifier pour passer au centre
Ajouter un commentaire d'image,Pas plus de 140 Mots(Facultatif)

Modifier pour passer au centre
Ajouter un commentaire d'image,Pas plus de 140 Mots(Facultatif)
1、 Forme de rupture du boulon de cisaillement :
a) Rupture par cisaillement de la vis ;
b) Rupture par extrusion de la paroi du trou en tôle d'acier ;
c) Rupture nette de la Section ;
d) Rupture par poinçonnage des bords ;
e) Rupture par flexion;
2、 Calcul des boulons communs :

Modifier pour passer au centre
Ajouter un commentaire d'image,Pas plus de 140 Mots(Facultatif)

Modifier pour passer au centre
Ajouter un commentaire d'image,Pas plus de 140 Mots(Facultatif)
Mentions de copyright
Auteur de cet article [Kyle942],Réimpression s’il vous plaît apporter le lien vers l’original, merci
https://fra.chowdera.com/2022/204/202207230539155398.html
Recommandé par sidebar
- Approfondir la file d'attente des conteneurs
- Méthode de rappel d'initialisation pour Bean et méthode de rappel pour libérer les ressources
- Enregistrer les données crawler dans la base de données MySQL
- Distribution des données via SQL
- Comment renouveler automatiquement les serrures distribuées redis (solution classique)
- Hongke Dynamics | cippe2022 est sur le point de se tenir, l'inscription est en cours
- Classe interne anonyme de kotlin (objet: XXXX)
- Interview raid: 6 grandes différences entre truncate, delete et Drop
- Ubuntu installe docker et les commandes de base de docker installent MySQL
- Leetcode - - Stack and queue articles
Devinez que vous aimez
Déploiement du cluster etcd
Dix problèmes dans la famille de protocoles TCP / IP
【 stm32 learning】 (21) stm32 Implementing Stepper Motor
Dessiner le tableau [grafana] avec les variables des critères de requête
Reconnaître les interfaces
LabVIEW: créer un VI
Cadre de développement de l'interface devextreme Gantt Control - Exporter PDF, trier les tâches
Exportation et importation de bases de données et de tableaux de données en ligne de commande MySQL
Easyeeagle, une plate - forme intelligente d'exploitation et de maintenance avec plusieurs plateformes de base de données massives
Vous souvenez - vous de offsetwidth, clientwidth, width, scrollwidth, clientx, screenx, offsetx, pagex dans JS?
Recommandé au hasard
- 【 Azure Event center】 Azure Event hub New Function attempt - GEO Disaster Recovery
- Quels sont les facteurs qui influent sur la prestation continue?
- 【 Tutoriel de démarrage rapide 7】 utilisation et introduction de l'ordinateur hôte de la station au sol de l'UAV en formation de coquille folle · Open Source
- Détails de la configuration redis
- Docker installe MySQL, redis
- Le circuit de limitation d'amplitude et le circuit de serrage utilisent la conductivité unidirectionnelle de la diode
- [carte des connaissances] cql et py2neo notes d'apprentissage
- C apprentissage des langues
- Application combinée de la ligne de transfert de colonne et de l'ensemble de données dans le scénario d'affaires
- Configuration SSL MySQL 5.6 / 5.7
- [apprentissage profond] fonction de perte (erreur absolue moyenne, erreur carrée moyenne, perte de lissage, entropie croisée, entropie croisée pondérée, perte de dé, focalloss)
- Optimisation de précision * stratégie d'optimisation 1: Réseau + optimiseur Sam
- Détails du Protocole Axi
- JS - - date Object & Ternary expression
- Leetcode - 494. Objectifs et
- L'interface utilisateur 3D ou le modèle dans l'unit é fait toujours face à la caméra et tourne avec l'angle de vue de la caméra 丨 l'angle de vue suit 丨 l'angle de vue fixe
- Discussion préliminaire sur JVM
- Déploiement de l'environnement appium pour les tests mobiles [à poursuivre]
- À propos du montage de fond, de la gestion des processus
- Lire la lecture efficace - l'auto - investissement le plus rentable
- Transplantation de systèmes embarqués
- Saisissez une chaîne de caractères à partir du clavier et affichez différents caractères et le nombre d'occurrences de chaque caractère. (la sortie n'est pas séquentielle) résoudre le problème en utilisant la méthode commune de la classe de chaîne
- 2019 Bar _ Aaai ICCN
- Conditions affectant la vitesse de requête de l'interface
- Stack et file d'attente de l'adaptateur STL
- Analyse de la stratégie de lecture et d'écriture du cache
- Classes et objets (1)
- Expérience II Yuv
- Comment synchroniser
- [arxiv2022] grouptransnet: Group transformer Network for RGB - D Salient Object Detection
- Avantages de la salle des machines bgp
- La fosse Piétinée par l'homme vous dit d'éviter les 10 erreurs courantes dans les tests automatisés
- Déterminer s'il s'agit d'un type vide
- Langue C - quelques exercices classiques de langue C
- Openvino Datawhale
- Question 300 Leçon 6 type quadratique
- Analyse du code source et de la conception de redis - - 7. Liste rapide
- Concepts et différences de bits, bits, octets et mots
- Déploiement du projet (version abrégée)
- JDBC Learning and simple Encapsulation